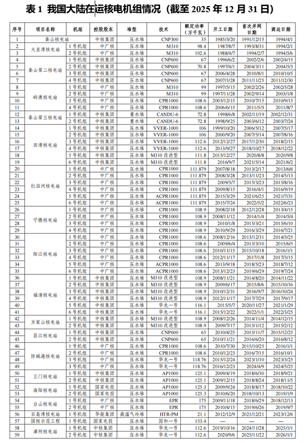
截至2025年底,我国[1]大陆并网运行的核电机组59台,总装机容量6208.694万千瓦[2],机组数量仅次于美国的94台,位居世界第二位。我国并网机组总装机容量仅次于美国9695.2万千瓦和法国6300万千瓦,位居世界第三位。根据在建核电机组建设进度,预计2026年我国在运核电机组总装机容量将超过法国,达到世界第二位。2025年,我国有1台机组实现首次并网,为漳州2号机组,装机容量112.6万千瓦。2025年,我国并网运行的核电机组数量同比增长1.7%,总装机容量同比增长1.8%。
截至2025年底,我国在建核电机组35台,总装机容量4221.6万千瓦,高于在建核电机组数量排名世界第二位的印度和排名第三位的俄罗斯,连续第19年位居全球第一位(印度在建6台核电机组总装机容量为476.8万千瓦,俄罗斯在建核电机组5台,总装机容量分别为500万千瓦)。2025年,全国有9台核电机组实现核岛浇筑第一罐混凝土(FCD),总装机容量1103.3万千瓦,按照开工时间顺序依次是陆丰1号、石岛湾一期扩建2号、惠州3号、金七门1号、招远1号、三澳3号、宁德6号、陆丰2号、白龙1号等机组。
2025年,我国共核准10台核电机组,连续4年核准机组数量超过10台。截至2025年底,我国在运、在建和核准待建核电机组共有112台,总装机容量1.26亿千瓦,连续第3年居全球首位。我国核电机组分布在东部沿海8个省份25座核电站或核电基地。8个沿海省份自北向南依次是辽宁、山东、江苏、浙江、福建、广东、广西、海南。其中,徐大堡、招远、徐圩、金七门、三澳、陆丰、惠州、廉江、白龙等9个核电站为新建核电站,目前还没有建成投运的核电机组。我国各省份在运在建核电机组及装机容量情况如下图所示。

我国大陆各省份在运在建核电机组情况
(截至2025年12月31日)
2025年,预计我国核电机组年发电量将超过4600亿千瓦时,在电力结构中的占比接近5.0%。考虑到法国多台核电机组因电力需求疲软和阶段性供应过剩而处于停运、降功率运行和调节运行状态,预计2025年我国核能发电量将继续超过法国,连续6年位居全球第二位。综合考虑法国核电机组停运检修、调节运行与退役计划情况,以及近6年法国核能发电量情况(2019—2024年分别是3780亿、3350亿、3607亿、2821亿、3238亿、3644亿千瓦时)等因素,以及2026年我国预计将新投运9台核电机组总装机944万千瓦的容量、“双碳”目标推进、绿色能源体系建设、风光水核等多能并举等多种有利政策和规划因素,预计我国核能发电量将在未来几年内持续位居全球第二位。


[1] 本文均指我国大陆核电数据,未包括我国台湾地区核电数据,下同。
[2] 本文数据来源国际原子能机构、国家能源局、各省份政府与能源部门、中电联、中国核能行业协会和中核智库。
免责声明:本网转载自合作媒体、机构或其他网站的信息,登载此文出于传递更多信息之目的,并不意味着赞同其观点或证实其内容的真实性。本网所有信息仅供参考,不做交易和服务的根据。本网内容如有侵权或其它问题请及时告之,本网将及时修改或删除。凡以任何方式登录本网站或直接、间接使用本网站资料者,视为自愿接受本网站声明的约束。

