近日,华南理工大学姚顺春教授团队提出一种基于高频光纤激光诱导等离子体发射光谱的Z3CN20-09M老化等级评估方法,有效建立了材料光谱特征与老化等级之间的关联机制,为核电站关键金属构件老化状态诊断技术的发展奠定基础。相关研究成果发表于国际光谱学专业期刊《Atomic Spectroscopy》(Aging grade estimation of the duplex stainless steel Z3CN20-09M from nuclear power plants based on fiber laser-induced plasma emission spectroscopy, 2024, DOI: 10.46770/AS.2024.245),博士研究生杨淇为论文第一作者,姚顺春教授为论文通讯作者。

图1 LIBS光谱采集:(a)FL-LIBS实验系统示意图;(b)单点烧蚀坑直径
面向核电站对主管道钢材老化状态原位快速诊断的重大需求,构建了以高频光纤激光器为激发光源的LIBS检测系统(图1)。使用的光纤激光器(Raycus Laser P20Q)波长为1064 nm,脉宽为120 ns,重复频率设置为25 kHz,平均输出功率为20 W。为了优化空间分辨尺度,激光焦点被精确地聚焦于样品表面。利用光学轮廓仪(UP-3D, Rtec Instruments)计算激光单点烧蚀坑直径大小为44.6 μm。

图2 特征谱线归一化峰值强度与老化等级之间的关联,误差棒表示重复测量5次SD值
初步研究了不同老化等级样品的光谱特性响应情况。选择Fe Ⅰ 259.42 nm、Fe Ⅰ 273.46 nm和Cr Ⅰ 262.05 nm作为分析谱线。这是因为这些谱线激发稳定且不受其他元素谱线干扰。结果表明,三条谱线归一化后的峰值强度与老化等级之间呈正相关,R2分别为0.95、0.94和0.95(图2)。

图3 等离子体温度与老化等级之间的相关性
由老化导致的微观组织结构差异是造成不同老化等级Z3CN20-09M样品谱线强度变化的根本原因。这些差异给LIBS测量带来了强烈的基体效应。在局部热力学平衡假设下,依据光谱强度计算公式,发现光谱信号强度由等离子体温度和总粒子数密度决定。同时,在化学烧蚀假设条件下,总粒子数密度与烧蚀质量呈正相关。因此,有必要比较不同老化等级样品的等离子体温度和烧蚀质量。利用比值法计算了不同老化等级样品的等离子体温度,发现等离子体温度与老化等级之间存在良好的正相关性,R2高达0.98(图3)。

图4 激光烧蚀后样品的表面形貌:(a)激光烧蚀产生的凹坑的扫描电镜图像:(1)激光烧蚀的核心区域,(2)激光烧蚀的热影响区域,(3)样品表面;(b)激光烧蚀后的三维形貌分析
为了评估样品的烧蚀质量,首先利用扫描电子显微镜(SEM)探测了烧蚀样品的表面形貌(图4(a))。FL-LIBS系统烧蚀后的样品表面可被划分为三个区域,分别为烧蚀核心区域、热影响区域和样品表面,分别对应图中标签1、2和3。随后,使用光学轮廓仪分析了不同老化等级样品烧蚀坑的三维形貌(图4(b)),测量结果与SEM结果相吻合。

图5 烧蚀质量评估:(a)烧蚀路径的平均高度;(b)烧蚀质量与老化等级的相关性
根据三维形貌表征可以看出,样品表面形成了较为均匀的烧蚀路径。因此,尝试将烧蚀路径视为一个整体,进而实现对烧蚀质量的评估。将样品表面高度定义为初始高度,核心烧蚀区域与热影响区域之间的高度差作为烧蚀质量的评估指标。利用光学轮廓仪数据,在每个烧蚀区域选择了750个测量点的高度。为了减少误差,高度测量重复进行三次,并使用平均值建立与老化等级的相关性。结果表明,烧蚀质量与老化等级呈正相关,R2为0.97(图5)。因此,不同老化等级样品等离子体温度和烧蚀质量的变化揭示了光谱强度出现差异的原因,可以通过比较元素特征谱线峰值强度来预测样品的老化等级。

图6 离子线与原子线峰值强度比与老化等级之间的相关性,误差棒表示5次重复测量的标准偏差:(a)Fe II/Fe I,(b)和(c)Cr II/Cr I
离子线与原子线的谱线强度比已被证明是表征基体效应的有效手段。本文提出利用基体元素Fe和合金元素Cr的离子线与原子线的峰值强度比建立与老化等级之间的关联性。发现Fe II 440.29/Fe I 259.42、Cr II 401.25/Cr I 262.05和Cr II 401.25/Cr I 267.20与老化等级之间呈负相关,R2分别为0.95、0.96和0.95(图6)。这些趋势说明不同老化等级样品的等离子体特性具有相似性,有助于预测样品的老化等级。

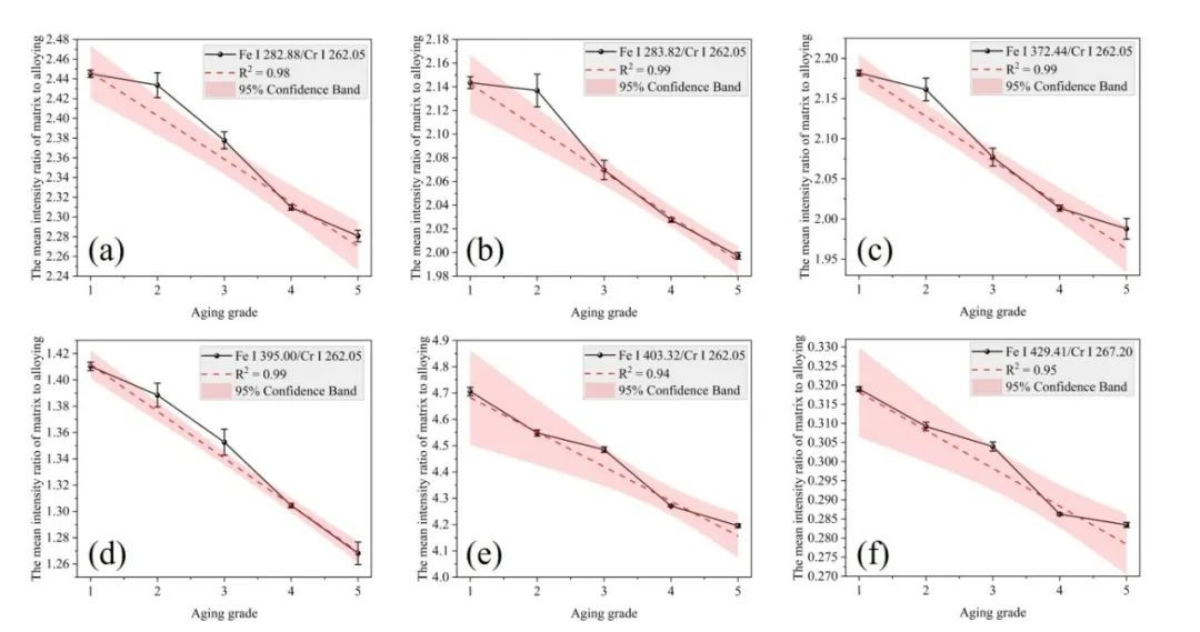
图7 Fe I/Cr I与老化等级之间的关联性,误差棒表示5次重复测量SD值
合金元素在Z3CN20-09M的微观结构和机械性能中起着至关重要的作用,对基体特性有显著影响。Cr是Z3CN20-09M中的主要合金元素,也是热老化过程中影响基体变化的关键因素。研究表明,基体元素Fe与合金元素Cr的谱线峰值强度比与材料老化等级之间存在良好的线性关系,R2均大于0.94(图7)。这些关系的出现可归因于Z3CN20-09M在热老化过程中发生了相变,形成了富铁和富铬的区域。这些微观结构的变化改变了材料的基体,进而影响了激光与材料之间的相互作用机制。这具体体现在光谱和等离子体特性的差异上。因此,关键元素特征谱线的强度比可用来描述材料的老化等级。
免责声明:本网转载自合作媒体、机构或其他网站的信息,登载此文出于传递更多信息之目的,并不意味着赞同其观点或证实其内容的真实性。本网所有信息仅供参考,不做交易和服务的根据。本网内容如有侵权或其它问题请及时告之,本网将及时修改或删除。凡以任何方式登录本网站或直接、间接使用本网站资料者,视为自愿接受本网站声明的约束。

