基于SIRS模型的核电事故致因传播机制研究
自核电发展以来,核安全问题受到了人们的重点关注。原因在于相较于其他事故类型,核电事故所造成的影响是灾难性的,如人员伤亡、环境破坏等。尽管随着硬件和软件系统的不断更新,技术的发展会对核电运行安全产生积极的影响,但由于核电系统极为复杂,导致事故致因过程也十分复杂。现代核电系统越来越复杂,一方面源自传统设计中的纵深防御,即通过增加系统的层级和冗余来保证系统安全[1]。另一方面源自自动控制技术,对系统增加了新的相互作用致使系统的复杂性增加[2]。与航空等其他行业类似,对核电事故进行有效的致因分析有助于提高核电安全。事件与事故所代表的严重程度不同,事件的发生原因往往能够揭示出事故发生的机理,有些事件的发生源于偶然或运气,事件并未演化成事故,如戴维斯贝斯核电站压力容器顶盖严重腐蚀事件[3]。同样,经过一段时间的积累,许多事件在组织和系统内不断地孵化,进而引发事故,如哥伦比亚航空飞机失事[4]。核电事故的发生较为稀少,但后果严重,分析核电运行事件原因有助于理解和预防事故的发生。
当前的研究多倾向于对影响核电安全的关键因素寻找,缺乏对风险在复杂网络中的传播分析,为了更好地控制核电风险传播,本文借助传染病传播动力学,在分析比较其与核电风险传播特性后,采用一种改进传染病模型仿真分析核电领域风险传播过程,并对相关因素的影响进行了比较分析,这可为核电领域提供更全面、可靠的安全保障措施,以提高核电安全水平。
一 方法概要
传染病的传播模型起源于18世纪对天花感染的分析[5]。随着研究的深入,学者们陆续构建了一些传染病模型,对传染病的传播进行定量研究,并逐渐从医学研究领域扩大到一般领域的传播机制[6-10],形成了SI模型、SIS模型和SIR模型等感染模型。SI模型是最基础的传染病模型,它将人群分为两种状态:易感者(Susceptible)和感染者(Infectious)。在SI模型中,易感者一旦接触到感染者,就会有一定的概率转变为感染者。且在该模型周期内将不考虑康复或死亡,即感染者会始终保持感染状态不变。由于该模型过于理想化,因此很难在实际分析中展开。
SIS模型则是在SI模型的基础上,增加了恢复机制,但感染者恢复后并不是直接获得持久免疫力,而是重新变为易感者,即个体在该模型中会处于两种状态的循环中。SIR模型是在SI模型与SIS模型基础上的进一步细化,考虑到感染者在恢复后将会具备免疫能力,就不再参与疾病的传播过程。该模型更加贴近现实,能够更准确地模拟具有康复和免疫保护机制的传染病传播的动态过程。此外,SIR模型还可以作为更复杂的传染病模型的基础,具有良好的拓展性。因此,本文主要是在SIR模型的基础上进行完善。
SIR模型规定了三种状态的人,包括健康状态、感染状态和免疫状态[11]。其中S代表处于健康状态的人群,I代表已感染的人群,R代表免疫人群,见图1。根据SIR模型做如下假设:

图1 SIR传染病模型
假设1:在同一时刻t下,S(t)表示处于健康状态的个体数量或比例,I(t)表示处于感染状态的个体数量或比例,R(t)表示治愈后处于免疫状态的个体数量或比例。
假设2:健康状态的人不具有传染的能力,但是会有一定概率被感染者感染,称为易感者,感染率记为α。
假设3:感染的患者有一定的概率被治愈,成为健康的人,称为移除者,感染者的治愈率为β。免疫状态的患者不会再被感染,也不会参与任何感染过程。
传染病动力学研究旨在理解和描述传染病的传播过程,通过建立数学模型,从定量的角度实现对传染病模型的研究[12]。使用该方法的过程中,可以综合考虑种群的生长特性、传播规律,以及可能与之有关的因素,建立能够反映其传染动态特征的数学模型[13]。因而可采用公式解析法或数值仿真法,来研究传染病的传播规律和控制策略,为预测和控制传染病提供科学依据。
二 SIR传染病模型构建与分析
(一)复杂网络构建
1.文本预处理
本文选取了152份对事件描述相对完整的核电运行事件报告,其中包括事件经过、主要的失效点、事件原因等,并通过整合报告内容,使得抽取过程更加方便。为帮助机器更好地理解报告中所包含的大量核电领域的专业名词,可以采用预处理来实现文本的结构化。特别是在词语分割的过程中,本文使用了自定义的核电词汇词典,确保分词准确,最终形成可用于事件抽取的文本语料库。
2.事件抽取
在报告整合的基础上,本文事件抽取主要包括事件触发词检测和事件判定两个步骤[14]。首先,采用自然语言处理技术进行文本预处理,对核电运行事件报告进行文本的清洗和过滤,切割为以词语为单位的文本集合。利用Hanlp进行词性分析,判断是否为事件触发词。其中若句子中包含表1中所示的因果提示词类触发词,则该句子为显式因果句,按照显式因果关系抽取的方法抽取其中的因果关系事件对[15]。
表1 句法结构提示词对应表

与此同时,由于事件报告中大量语句中并不包含因果提示词,例如“管理团队开展的风险分析不足,包括设计和改造风险评估以及维修的易损性,设备运行状态超出设计规范”。在该文段中不包含上述的因果关系词,但是从中能够得到一条因果关系链:风险分析不足→超出设计规范。中文文本中隐形关系多通过获取词性、句法等数据特征进行定位,由于隐式句中不包含因果关系词,因此需要选择其他的词语来当作触发词。本文采用词性过滤的方式,保留词性为动词的词语,对隐式因果关系进行抽取,并通过依存句法分析,识别出事件对,将其存储至事件库中。
3.文本事件泛化
在核电运行事件报告中,存在不同事件的表述指代的是同一事件,如“程序不完善”“大纲内容不全面”“管理流程不完善”“无操作规程”都是指代“程序不完善”。本节将采用相似度计算手段解决核电运行事件报告中不同表述的归类问题[16]。对于发生类与结果类事件,将向量空间中两个向量夹角的余弦值作为衡量两个事件间的相似程度[17]。余弦值越接近1,就表明夹角越接近0度,两个向量越相似。

对于事件相似度大于0.4且有较多相似事件的具体事件,将其与影响核电安全的致因因素进行对应,规范表达[18]。将事件报告抽取结果所得的演化事件进行归一化处理后存储到Gephi软件[19],得出核电事故的复杂网络,其中包括738事件对,见图2。

图2 核电致因网络图
核电运行事件复杂网络结构的直径为6,平均路径长度为2.289,即最长的事件演化路径包含6个致因因素的链路,每个节点平均2步就可以与另外一个节点产生较强的关联,网络整体的分离程度较小,演化效率较高。观察复杂网络可得出核电运行事件的发生,不仅仅是单一因素的线性影响,各层级之间的致因因素是交互影响的,且具有不确定性,因此会出现多种链路组合,使得预防工作难以进行。在网络结构中节点M1(安全重视程度不足)、M4(程序不完善)、M5(风险分析不足)、M7(文件记录不完善)、M9(监管不到位)、E1(设计不合理)、H1(操作失误)、H2(程序执行错误)、P1(反应堆停堆)、P5(软件/硬件系统故障)分布明显较高,分别为24、42、40、23、25、24、28、29、30、22,这表示以上节点是导致众多类型事件发生的原因,其对事件演化过程的影响较为关键。其中E1、H1、H2的特征向量中心值比较大,表明该节点和与之相连的节点均十分重要,对其之间的链路进行截断,可有效减少事件的发生。为进一步验证上述关键节点对核电致因网络风险传播的影响,本文将采用构建SIR模型深入分析核电致因网络安全风险的传播过程。
(二)SIR模型的建立
1.特性分析
结合上节所得核电致因网络,进一步比较分析该复杂网络的传播过程与传染病的传播过程,从而证明传染病模型在核电领域的适用性。
(1)在核电致因网络中,将不同的事件因素视为网络中的节点,彼此之间形成网络。在传染病模型中,人群中的每个个体可以被视为一个节点,通过相互之间的接触形成传染链。致因因素之间存在导致关系,比如人员经验、认知不足会导致其操作失误。类比到传染病模型中,某个个体患病可能通过接触传播给其他个体,形成传播链路。
(2)类比于传染病模型中的个体状态,核电致因网络中的节点也会因内部管理和外部环境的因素而处于不同的状态。不同节点之间的状态差异会对事件传播的速度和规模产生影响,因此也可通过对其进行控制进而降低核电系统风险产生的影响。
(3)在SIR模型中,由感染者变为移出者后,此类人员将不会再次被感染,在状态上与操纵员在进行相关培训与学习后,增加了自身技能的积累以及对相关事件的关注度,使得部分事件在一定时间内处于受控的状态,不会再进行进一步的类似传播。
由上述分析比较可知,核电致因网络中的节点功能状态、整体特性与传染病传播过程的特点非常相似。因此,从理论上讲,研究核电事故风险致因的传播过程,可以借鉴传染病传播动力学的模型和方法。但是,考虑到在实际工作中,核电事故的传播受到人为因素的影响,如操纵员的应对措施和决策。因此,在模型中需要考虑人的行为和决策因素。这可以通过引入人为控制因素和行为模型来实现,以反映操纵员在事件发生时的决策过程和应对措施的效果。此外,还需要考虑到核电事故的时间演化特性。事故的发展过程可能不是一次性的,而是在一段时间内逐渐演化的。因此,需要在模型中引入时间因素,以反映事故的时间动态性。
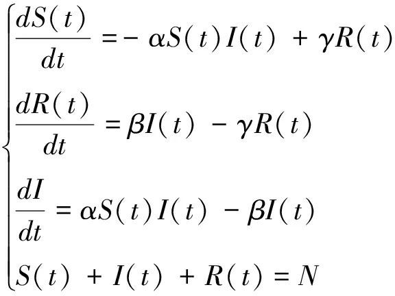
本文使用优化的SIRS模型结构描绘核电事故风险致因的传播过程,见图3。引入免疫系统缺陷机制,分析风险感染率、恢复率和免疫缺陷率这三个关键参数对风险传播的影响。要考虑多个因素,避免仅仅关注单一因素导致研究结果的片面性,因而要构建更全面的SIRS模型来研究核电运行事件风险传播机制,使传播路径更加广泛、更符合实际情况。

图3 核电致因风险传播过程
结合核电致因网络中各个事件节点的变化特性,将其分为三种状态:隐患状态、危险状态、控制状态[20]。潜在的隐患状态节点通过与其他节点不断地接触,产生被传染的概率,即网络中存在的风险感染率α。设间隔时间t内所有可能发生接触的节点数为S(t)I(t),则实际发生传染的节点数为αS(t)I(t),这部分代表隐患状态节点减少的数量与危险状态节点增加的数量。同理受到恢复率的影响,同一时间内危险节点数减少βI(t),这部分节点进入受控状态。在此基础上引入的免疫缺陷率γ使得有γR(t)个受控状态节点在间隔时间t内重新变为隐患状态。
2.假设条件
基于以上传播规则,需对当前核电风险传播过程做出如下假设:
(1)核电运行事件致因网络中总事件数量不变,将其分为隐患状态S(t)、危险状态I(t)和控制状态R(t),且三种状态下事件数之和等于事件对总数,即S(t)+I(t)+R(t)=N。
(2)风险传播过程中,并非只存在单向传播,而是相邻节点之间的状态均会产生影响,类似于传染病的无向传播。
(3)存在免疫失调机制,即特定条件下,处于受控状态的事件可能会失去免疫功能,转变为潜在的隐患状态事件。
根据以上特性分析与假设建立相应的系统动力学方程组为:

其中,初值S(0)>0;I(0)>0;R(0)>0;α>0;β>0。
三 仿真分析
本节将模拟核电运行事件致因因素在实际风险传播中的动力学过程,基于改进SIR模型,利用matlab2020数学建模工具进行仿真,通过仿真模拟来观察和分析模型中风险感染率α、恢复率β和免疫缺失率γ的变化,以及上述不同参数状态下各事件数量的变化情况。
(一)感染率变化对风险传播过程的影响
在实际的核电运行事件中,感染率的大小在一定程度上体现了核电厂在面对风险时的快速反应力和抵抗力。在该网络中,规定初始节点均处于隐患状态,由于核电厂在任一时刻的内外部环境不同,因此各个节点受到风险冲击后感染为危险状态的发生频率不同。为模拟不同感染率对该网络的影响,本文选取0.1、0.15、0.2、0.25、0.3作为感染传播参数,致因网络的传播参数控制为β=0.1、γ=0.1、N=738、t=30,将以上参数代入仿真中,得到各类状态事件数在风险传播过程中的变化,见图4和图5。

图4 不同感染传播参数下S(t)变化图

图5 不同感染传播参数下I(t)变化图
由仿真可得出,当α=0.10时,隐患状态事件数在t=18时达到极小值61。当α=0.15时,隐患状态事件数在t=12时达到极小值32。当α=0.20时,隐患状态事件数在t=9时达到极小值20。当α=0.25时,隐患状态事件数在t=8时达到极小值14。当α=0.30时,隐患状态事件数在t=6时达到极小值10。分析数据变化可知,感染率对风险传播速度和高度的作用较为显著。随着α的增大,系统受到的风险冲击更大,隐患状态事件数量下降得更快。系统的感染率越大,那么当危险发生时,留给操纵员用来反应事件的时间越短,此时核电系统的安全可控性越差。
危险状态事件数的具体变化为,当α=0.10时,在t=14时达到极大值464。当α=0.15时,在t=9时达到极大值527。当α=0.20时,在t=7时达到极大值564。当α=0.25时,在t=6时达到极大值589。当α=0.30时,在t=5时达到极大值608。与之前不同的是,感染率的降低不仅降低了稳态内危险状态事件数量,同时增加了系统达到最终稳态水平所需的时间。综上可知,风险感染率与核电系统安全呈负相关,感染率越大,核电安全越难以控制,且危险状态下的节点变化速度更大,数量更多。
(二)恢复率变化对风险传播过程的影响
在核电运行事件发生后,操纵员需第一时间根据现场情况以及自身所具备的能力,来应对紧急情况。操纵员自身所具备的能力或经验差异会导致系统恢复率的不同。与此同时,相关人员需要通过汇报或形成报告的形式对系统上一层进行反馈,企业的组织或管理层依据反馈采取管理措施。为体现不同恢复率对致因网络风险传播的影响,本文设置0.05、0.1、0.15、0.2、0.25作为风险控制参数,其他控制参数为α=0.1、γ=0.1、N=738、t=30,各类状态事件在风险传染过程中的数量变化见图6和图7。

图6 不同恢复参数下I(t)变化图

图7 不同恢复参数下R(t)变化图
从图6可知,随着β增大,危险状态事件数的极值分别为574、464、377、306、246,呈现明显的下降趋势,且最终平稳状态下的数量最小。从图7可知,当β=0.05时,受控状态事件数在t=30时达到极大值222。当β=0.10时,受控状态事件数在t=30时达到极大值320。当β=0.15时,受控状态事件数在t=26时达到极大值364。当β=0.20时,受控状态事件数在t=25时达到极大值382。当β=0.25时,受控状态事件数在t=25时达到极大值383。随着恢复率的增大,处于受控状态的节点数量增加。因此提高系统的恢复能力可以增强对安全的控制。当到达一定阈值后,受控状态事件数量不再随着β增加反而降低。出现这一现象的原因是,核电系统受到风险冲击时具有突发性,留给操纵员反应的时间较为紧迫。风险控制参数的增加使得操纵员将更多的精力放在危险状态事件的处理上,减少了对受控节点的监督,让其有更大的可能转为隐患或危险节点。仿真结果表明,当网络结构中恢复率控制在β=0.15时,系统的风险控制效率会达到最好的状态。
(三)免疫缺失率变化对风险传播过程的影响
风险时时刻刻都会存在,处于受控状态的节点往往也会因操纵员与设备方面的不足而转化为隐患节点,如安全重视不足、风险分析与监管的不足、设备的维修与改进等。通常免疫缺失率对系统影响幅度均较小,本文设置0.05、0.1、0.15、0.2、0.25作为免疫缺失参数进行传播仿真,控制其他参数为α=0.1、β=0.1、N=738、t=30,各类状态事件在风险传播过程中的数量变化见图8和图9。

图8 不同免疫缺失参数下S(t)变化图

图9 不同免疫缺失参数下R(t)变化图
从仿真结果可以得到,与感染率和恢复率相比,不同的免疫缺失率对受控状态事件数的稳态水平影响不大。但随着免疫缺失率的增加,受控状态事件节点数减少,隐患状态事件节点数增多,就增加了系统感染风险的概率。因此,企业激励操纵员保持良好的工作状态以及应对突发事件的反应力具有一定的意义。
四 结 论
借鉴以往学者对安全风险传播的相关研究,考虑到在实际工作中存在的人为因素,本文对传统的SIR模型进行了优化,引入免疫缺失机制,考察了风险感染率、恢复率和免疫缺失率3个关键参数对风险传播的影响,并运用复杂网络和生物学中SIRS传染病模型,对核电领域复杂网络的风险传播过程进行了研究,得出如下结论:
一是在核电系统风险传播过程中存在一种“超调”现象,即在系统达到稳定状态之前,事件节点数目会短暂地超越均衡值,然后逐渐趋于稳定。这种“超调”现象反映了核电系统中风险传播的动态特性,在响应风险事件时会出现暂时的不稳定状态,所以系统应增加一定的限度来应对这种瞬时的不稳定。
二是核电致因网络中的感染率、恢复率、免疫缺失率均会影响风险传播速度,并对系统最终的稳定水平产生影响。这些参数的设定决定了节点间风险传播的速度和强度,直接影响了系统的稳定程度。合理调节这些参数可以帮助我们更好地理解和控制核电系统中风险传播的规律。
三是降低风险感染能力能够对风险在核电致因复杂网络中的扩散速度与干扰程度起到控制作用。反之,一味地提升恢复能力并不能有助于改善风险干扰下核电致因复杂网络的环境,促进核电致因复杂网络恢复稳定。
根据以上内容分析可得,不同的感染率以及恢复率对系统的稳定性影响效果较为明显,因此控制核电风险传播,提高系统安全水平,可从降低感染率与提高恢复率两方面入手。在核电致因网络中,程序不完善、风险分析不足、操作失误、监管不到位、设计不合理等节点的总度排名靠前,即与这类节点产生关联的致因种类更加广泛,相应的此类节点的感染率更大,因此可作为避免引起后续事件的关键节点。其中程序执行错误、操作失误、设备调试不规范等节点的特征项向量中心值更高,即该节点的重要性和与之相邻节点的重要性综合更大。要加强风险应对能力,有效提高系统的恢复率,提升对核电运行事件的应对处理能力,控制核电事故的进一步恶化,可从上述节点出发。根据分析结果,对相关核电企业提出以下建议来改善安全管理,以减少核电事件的发生。核电企业应审查和改进现有的程序和操作规范,确保其与实践和标准相符合。同时,应进行培训和监督,确保员工正确执行程序并遵守操作规范,减少操作失误和程序执行错误的发生。此外还应建立健全的风险管理制度,包括风险评估、风险控制和风险监测等方面。对潜在风险的识别和评估,可以采取相应的措施来降低风险并防止事件的发生。在设备方面,应确保设备调试过程符合标准和规范,严格按照程序进行操作,并加强设备的维护和监控,定期检查设备的运行状态,及时发现并修复潜在问题,以减少设备故障对事件发展的影响。
现实中的核电系统非常复杂,不同时间段下影响核电运行安全的致因因素也各不相同。本文采用引入免疫系统缺陷机制的SIRS模型对核电事故风险传播进行了初步仿真研究,后续可以在此基础上增加更多机制,从而使其更加贴合现实的复杂情况。此外,本文选取了中国11家核电厂的152份核电运行事件报告,尽管从中可以获得有意义的信息,但为了获取更加精确的数据内容以及仿真分析,可以进行进一步的数量扩充。
免责声明:本网转载自合作媒体、机构或其他网站的信息,登载此文出于传递更多信息之目的,并不意味着赞同其观点或证实其内容的真实性。本网所有信息仅供参考,不做交易和服务的根据。本网内容如有侵权或其它问题请及时告之,本网将及时修改或删除。凡以任何方式登录本网站或直接、间接使用本网站资料者,视为自愿接受本网站声明的约束。

